一文讀懂 | 河道、湖庫曝氣增氧計算及設備選型
國內外研究證明,曝氣增氧技術是一種快速、高效、簡便易行的污染物降解措施,已廣泛應用于河湖水環境治理尤其黑臭水體修復的工程實踐中。
在工程的前期設計階段,曝氣增氧技術如何選擇、河道需氧量如何計算、曝氣設備功率/風量如何設計,是首要考慮的問題。
目前關于曝氣增氧系統的設計,在污水處理工程領域有相對成熟的設計手冊和規程;而在河道、湖泊等地表水體治理領域,卻鮮有相關規范或標準對曝氣設計作出明確要求。
本文參考行業研究文獻,梳理了河湖治理中3種常用的曝氣需氧量計算方法及實例,并對設備選型給出了一定的對比闡述和建議。
1曝氣增氧的作用
曝氣技術首要的作用就是迅速增加水體溶解氧(DO)含量。DO改變,則水中大環境改變。水體由原來缺氧或厭氧狀況逐步轉變為好氧狀態,好氧微生物得到加持而活力大增,進而促進水體有機污染物、氮素的分解轉化。
因此,曝氣增氧的第二個作用就是可間接降低水中化學需氧量(COD)、氨氮(NH3-N)、總氮(TN)等污染物濃度。
其三,充入的DO可氧化有機物厭氧降解時產生的硫化氫(H2S)、甲硫醇及FeS等致黑致臭物質,有效改善水體的黑臭狀況。研究表明,隨著曝氣的進行,H2S存在時間從超過40天可減少到不超過20天。
此外,向水體增氧的過程,也在一定程度增加了水體自身的紊動性,產生了“流水不腐”的功效,進一步促進了水體和氧氣的混合、傳遞,加速水質凈化。
2需氧量計算
總體來講,水體需氧量=水體耗氧+底泥耗氧-大氣復氧-植物光合作用產氧。
實際中,水體需氧量計算需綜合考慮多方面因素,主要包括水體類型(靜止水體/流動水體)、現狀水質、主要污染物、目標水質等。
目前國內多數研究中,習慣將需氧量計算模型分為三種形式:
1 | 箱式模型
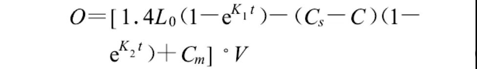
對于小型靜止水體,如公園或小區內的景觀湖、池塘、斷頭浜、滯留型河道等,由于其面積較小,水深較淺,且外界輸入污染負荷相對不高,一般可采用基于一級反應動力學方程的箱式模型:

式中,O為水體需氧量,g;V為水體體積,m3;t為充氧時間,d;C為水體的溶解氧濃度,mg/L;L0為水體初始BOD5濃度,mg/L;K1為BOD5生化反應速率常數,/d;Cs為水體的飽和溶解氧,mg/L;K2為水體復氧速率常數,/d;Cm為維護水體好氧微生物生命活動的最低溶解氧濃度,一般取2~3mg/L;
值得注意的是,該模型僅考慮了有機物生化降解和大氣復氧作用。
若水體污染嚴重,長期處于黑臭狀態,則在計算需氧量時還需考慮無機還原物質(如Fe2+)和底泥耗氧作用的影響。
當然,如果水體設計有沉水植物,則在計算需氧量時也應對植物光合作用產生的氧氣量加以考慮。
2 |組合推流式反應器模型
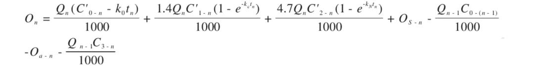
對于河流等流動水體需氧量的計算,目前文獻應用較多的是上海市環境科學研究院建立的組合式推流反應器模型。
該模型將河流近似看做多個推流式反應器的串聯組合,在充分利用河道現有水質、水力資料的基礎上,對相關邊界條件作了合理簡化和假設后建立而成的模型。
組合推流反應器模型方程如下:

式中,On為第n個反應器需氧量,g/d;Qn為第n個反應器流量,包括河流本體流量和外源流量,m3/d;C’0-n為第n個反應器進口還原物質濃度,mg/L;K0為無機還原物質好氧速率,mg/(L·d);tn為第n個反應器的水力停留時間,d;C’1-n為第n個反應器進口BOD5濃度,mg/L;Kc為BOD5耗氧速率常數,d-1;C’2-n為第n個反應器進口氨氮濃度,mg/L;Kn為氨氮耗氧速率常數,d-1;Os-n為第n個反應器底泥耗氧需氧量,kg/d;Qn-1為第n-1個反應器的流量,m3/d;C0-(n-1)為第n-1個反應器出口溶解氧濃度,mg/L;Oa-n為第n個反應器藻類復氧強度,kg/d;C3-n為第n個反應器大氣復氧量濃度,mg/L。
該模型綜合考慮了還原物質耗氧、有機物耗氧、硝化耗氧、底泥耗氧等耗氧作用,同時考慮大氣復氧、藻類光合作用復氧等復氧作用。
在實際河道復氧作用中,可根據河道周圍環境將河道切割成多段,從而提高模型的計算精度。
3 | 耗氧特性曲線法
針對缺乏可靠的水質模型和污染資料不全的水體,可利用實驗室試驗確定目標水體的耗氧特性曲線,根據治理目標和各階段耗氧量,對需氧量進行估算。
耗氧特性曲線是建立在單位水體溶解氧消耗量與時間關系的二維坐標曲線,描述了水體中各特定耗氧階段的物質耗氧細節,包括開始時間、階段歷時、階段耗氧量、是否存在抑制現象等。
比如李偉杰等人的研究,通過在20℃恒溫培養箱內,對上海新港河道水樣培養15天,分別測定每天的DO值,根據耗氧量繪制出河道的耗氧特征曲線:

△ 上海新港河道水體耗氧特征曲線(不含底泥耗氧)
耗氧特征曲線方法僅考慮了某一時刻水體需氧情況,不適用于有持續外源污染輸入、藻類復氧比較強的條件,多用于封閉的湖庫。對于流動性河道,可將其劃分為多段,對各段水體分別制定相應的耗氧曲線,從而得到需氧量。
3充氧量計算
水體的需氧量并不等于設備的充氧量。
一般情況下,增氧設備標稱的充氧動力效率,均是通過清水試驗獲得。
而實際中我們所面臨的均是受污染的水體,其中含有大量雜質,這些雜質直接影響了氧的轉移系數和水體飽和溶解氧含量,因此需進行適當的校正。
目前大多引入系數α校正水中雜質對氧轉移系數的影響,引入系數β校正雜質對飽和溶解氧Cs的影響。校正后的計算方程如下:

式中,R0為曝氣設備的校正充氧量(氧轉移速率),g/h;R為河道需氧量,g/h,可取上文所計算的理論需氧量的1.2~1.5倍;Cs(20)為水溫20℃下的飽和溶解氧濃度,mg/L;α、β值可通過污水、清水充氧試驗確定,對于城市生活污水中,α、β值分別為0.80~0.85和0.90~0.97之間,通常河道的污染程度低于該水平,其α、β值可參照上限取值;Cs(T)為水溫T℃下的飽和溶解氧濃度,mg/L;C為水體實際溶解氧濃度,mg/L;T為設計水溫,℃。
計算出河道需氧量及校正的充氧量后,即可對設備進行選型,進一步確定相關細節參數。
4設備功率、風量計算
1 | 機械曝氣設備
機械曝氣是污水處理中的概念,主要為表面曝氣,故也稱表曝機,借助機械設備(如葉片、葉輪、噴灑器、渦輪裝置等)為水體增氧。
在河道、湖泊治理中,可以歸納為機械曝氣類的設備包括葉輪式增氧機、水車式增氧機、涌浪式增氧機、浮水噴泉等。
機械曝氣設備的主要技術參數是動力效率,以kg O2/(kW·h)計。根據前文計算的氧轉移速率R0(g/h)與設備的動力效率,即可確定設備的總功率與數量。受機械曝氣自身特性限值,其更多運用于對局部水體的增氧,如排污口附近,效果較為明顯,且能在水體表明形成一定的紊動效果。不適用于全河道的增氧。
2 |鼓風曝氣設備
鼓風曝氣也叫壓氣曝氣,常見的類型包括羅茨鼓風機、離心式鼓風機、沉水風機、射流機等,在河道污染治理工程中應用廣泛。
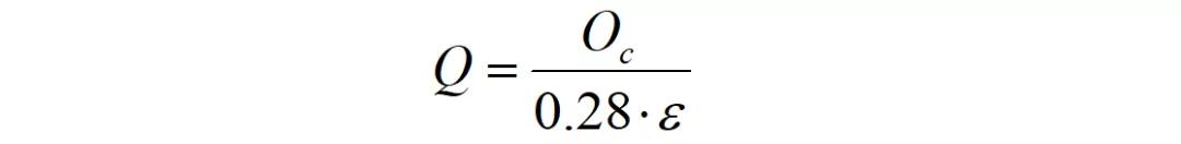
鼓風曝氣設備的主要技術參數是功率(kW)和風量(m3/h)等,設備選型可參考污水處理工程設計手冊中的相關內容進行計算:

式中,Q為風機總供風量,m3/d;Oc為水體需氧量,kg O2/d;ε為曝氣設備氧利用率,以%計;0.28為標準狀態下(0.1MPa,20℃)下每立方米空氣中含氧量(kgO2/m3)。
根據公式計算可得風機風量,查詢風機廠家相關設備參數表,即可進一步確定設備功率、規格數量等。
5曝氣設備的選型
曝氣設備的選型,應遵循因地制宜、一河一策的原則。
根據水體類型(河道、湖泊、水塘等)、所處區域(北方、南方、城市、郊區等)、水體功能(航運、行洪、景觀、水源地等)、水體特征(水深、寬度、流速等)、污染情況(持續污染輸入、突發污染負荷)、水質目標(消除黑臭、提高水質、恢復生態等)、供電情況、投資情況等諸多因素,選擇相對適宜的增氧設備。
比如北方地區,水體存在冬季易結冰、易斷流等問題,可采用方便拆卸和移動的推流曝氣、噴泉曝氣,而不宜采用鼓風(管道)曝氣系統;城市河道有景觀需求的可采用噴泉曝氣,郊區無供電的河道宜采用太陽能曝氣;有航運需求的河道、潮汐性河道,則適宜用曝氣船,不建議用鼓風曝氣、推流曝氣等。
▽ 不同曝氣設備選型比較

6計算實例
實例1:上海新港河道
參考李偉杰等研究,其采用試驗測定了新港河道的耗氧特性曲線,并進行了反應動力學分析,根據水體和底泥的階段耗氧量、階段歷時、水量、底泥面積等,計算出新港河道的總耗氧量:
▽ 新港河道耗氧量計算

計算可得,新港河道總耗氧量為26.92kg/d,其中水體耗氧占15.9%,底泥耗氧占84.1%,以總耗氧量作為河道需氧量的參考數值。
考慮新港河道沒有航運和景觀要求,水面較窄,故設計選用機械曝氣的方式對水體增氧,設備類型為葉輪式增氧機。
參考增氧機的規格參數,輸出功率為0.75kw的設備,對應增氧能力為1.0~1.2 kgO2/h。本實驗即選用該功率設備,數量確定為4臺,對應總增氧能力為4.0~4.8kgO2/h,每天運行8 h,總增氧量≥32kgO2/h,滿足新港河道的需氧量要求。
實例2:蘇州苗家河
參考徐續等人的研究,苗家河水體相對滯留,水域面積小,平均水深約2 m,外源輸入污染負荷較小,因此采用箱式模型對曝氣參數進行計算。
計算參數主要采用蘇州苗家河夏季測定平均值,部分參考相關文獻資料等,具體如下:
設計水溫:25℃;BOD5反應速率常數:k=0.25/d;測定初始BOD5濃度L0=10.0mg/L;設計水體改善后BOD5濃度滿足地表水IV類標準,即L=6.0mg/L;水體飽和溶解氧,Cs=8.5mg/L。
代入方程計算可得,在靜止狀態下苗家河的理論需氧量為12kgO2/d。河道北端有閘門,南端有軟圍隔,平均流速約0.001 m/s,計算動水狀態下水體需氧量為27.6kgO2/d。
考慮河道水淺、無航運需求、有景觀要求等特點,設計選用復葉推流式液下曝氣機,功率3 kw,清水充氧量5.0kgO2/h,滿足河道需氧量要求。
(本試驗采用24小時連續曝氣的運行方式,黑臭現象明顯改善后采用間歇曝氣方式。)
以上是小編收集整理的一文讀懂 | 河道、湖庫曝氣增氧計算及設備選型部分內容來自網絡,如有侵權請聯系刪除:153045535@qq.com;
本文地址:http://m.golddiy.com.cn/shuichuli/657.html










