水草茂盛的水域 pH為何容易偏高甚至“超標”?
明清澈見底,各項水質指標I~III類,水下森林生長完美,可pH卻不達標!
"pH偏高甚至超標,是水生態修復比較容易出現的一個問題。這個現象往往發生在項目中后期,尤其是夏秋季,水下森林構建完成,并形成了相對穩定的凈化系統。你看得到沉水植物生長旺盛,甚至觀察得到其葉片不斷滋生的氣泡,一汪清水著實喜人,不亞于廣告中有點甜的礦泉水。放心的交由第三方檢測水質,卻被告知pH為9.7,超出了地表水標準的6~9限值,水質不達標!可其他指標明明很好。DO為I類,COD為II類,氨氮為II類,TP為III類,這樣的水說不達標,很難讓人理解。
是水質真的不好么,肯定不是。是檢測結果有偏差么,卻也未必。拋開外部人為因素等影響,水體pH超標的內在原因是什么呢?
1 pH超標的表現
一般情況下,水生態系統初步構建完成后,水體各項污染指標均會得到大幅削減,pH也會回歸至7~9的常規水平,水質整體向好。
隨著水草生長繁殖,水下森林覆蓋率不斷提升。夏季高溫時節更是大多數沉水植物分蘗的高峰期,在此期間,可能發生水體pH超標現象(統一表現為pH>9,一般不會超過10),水體呈堿性。
從空間來講,pH超標現象并不會發生在整個水域,而大多出現在沉水植物生長最為旺盛的區域;從時間來講,pH超標也多發生在5~8月份的晴天中午10:00~16:00之間,正午時段發生概率最高。
此外,pH超標一般為單獨現象,基本不影響水體透明度及其他水質指標。
2 水這么好,pH為何還會超標?
可以說,恰恰是水質好、水草旺盛,才更易發生pH超標現象。
pH超標的原因,可以簡述為:沉水植物光合作用消耗水中的CO2,CO2的減少又會改變水中碳酸平衡,進而導致水體pH升高。
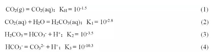
水體中的碳酸平衡方程為:

而沉水植物的光合作用又與碳酸鹽體系存在著如下關系:

上述平衡控制著水體pH的變化,任何一種離子濃度的變化都將引起pH的改變。
在水草生長旺盛的區域,擁有更強的光合作用,也就意味著要消耗更多的CO2,當植物不能直接從水體中獲得足夠的游離二氧化碳時,只能從碳酸氫根奪取二氧化碳,方程式(6)向右移動,釋放出OH-,導致pH升高。
根據王傳海等(2007)研究發現,沉水植物在光合作用光反應階段會產生大量原子氧,導致水體DO含量迅速提升,為保持細胞內外的酸堿平衡,植物也會把細胞內形成的OH-排出細胞外,導致水體中OH-濃度升高,進而引起水體pH升高。
隨著光照條件變弱,植物光合作用也逐漸減弱,pH將逐步降低;夜晚由于光合作用的消失,同時植物的呼吸作用會產生一定量的CO2,水體pH值將逐步恢復至偏中性狀態(7.0~9.0)。
3 pH超標一定是壞事嗎?
由水污染引起的pH含量超標,當然不是好事。
但由于沉水植物系統光合作用引起的pH短暫升高,也并非壞事。這是一種正常的自然現象。
研究表明,pH的變化會改變微生物的環境條件。當沉水植物光合作用增強,水體中pH升高,有助于下面方程向左移動,促進水中氨氮以氣體形式逸出水體。

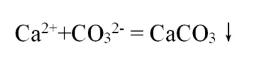
此外,隨著pH的升高,碳酸根的比例在逐步增加,有利于與水中鈣、鎂等陽離子形成沉淀,水體總硬度也隨之下降,即起到了“生物脫鈣”作用。

趙聯芳等人研究表明,當水體pH>8.55時,種植有伊樂藻的水體才表現出明顯的削減氨氮的作用,在pH<8時該作用則不顯著。其通過對比發現,在沉水植物生物量較大時,pH小幅度升高即可促進系統中N的去除。
當然,植物光合作用也不會無限制的提高水體的pH值。畢竟植物生長也有自己的邊界條件。當水體pH過高,也會反過來降低沉水植物的光合放氧量,抑制光合作用。
張瀏等人研究表明,水體pH的大幅增加,會導致一系列的水化學變化,如氧化還原狀態、營養鹽形態,也可導致沉水植物生產力下降,凈化作用降低,過高的pH值也可能直接引起植物的死亡。
需要注意的是,這種高pH的極端現象,絕非僅僅來自植物自身的光合作用。如果水體pH超過10甚至更高,就應該好好檢查是否存在外部的干擾因素了。
4 科學案例佐證
中科院南京地理與湖泊研究所的王傳海教授團隊,在其關于苦草對水體環境因子影響變化的研究中發現,種植有苦草的水體,其溶解氧、pH值均顯著高于無植物的水體。
研究還表明,種植有苦草的水體其pH值日變化趨勢明顯,pH呈明顯的以下午3點為最高值的單峰曲線。最高值達到9.25,6:00~23:00期間pH平均為8.24。

這一現象的發生,也正是由于沉水植物的光合作用消耗水體中的CO2所致,進而引起pH升高。值得注意的是,即使到了凌晨,有苦草的水體中pH值仍然高于無苦草的對照組,這可能意味著CO2在水中溶解的速率較慢。
狄春華在其發表的《尚湖原水pH異常原因分析與應對》一文指出,“……在線監測數據發現:4月底尚湖pH值突然升高,6月中旬回落至8.5以下;7月上旬開始一路上升,最高達9.68(8月中旬),直至10月中旬才回落至8.5以下。”
研究認為,pH的異常與湖泊沉水植物生長旺盛、光合作用強有關。光合作用釋放大量氧氣,并吸收CO2,促使湖水中的碳酸平衡發生變化,導致pH升高。6月份pH回落是因為當地自6月11日入梅,梅雨期26天,與pH低谷時段相當。
5 寫在最后
總體來講,由沉水植物光合作用引起的pH升高或不穩定現象,不必大驚小怪,這種pH的變化,更像是表征水生態修復成效的一種良性指標。
事實上,在水生態考核工作中,建議不必模式化的照搬pH為6~9的標準,而應結合其他多項水質指標,用老百姓看得見、感受得到的方法,綜合判定水質。
以上是小編收集整理的水草茂盛的水域 pH為何容易偏高甚至“超標”?部分內容來自網絡,如有侵權請聯系刪除:153045535@qq.com;
本文地址:http://m.golddiy.com.cn/shuichuli/669.html










