連續式污泥厭氧消化對腐殖酸的適應性研究
本文介紹連續式污泥厭氧消化對腐殖酸的適應性研究
1 文章亮點
·采用連續式運行模式,探究不同濃度HA對厭氧消化的影響
·測定系統內關鍵酶活性、細菌豐度等微觀指標,進一步深究HA抑制厭氧消化機理
·比較間歇式與連續式厭氧消化運行結果,驗證連續式厭氧消化過程細菌是否被馴化而出現適應性
2 文章簡介
污水中所含化學能通過污泥厭氧消化能源轉化效率較低,其中重要原因是剩余污泥中存在的腐殖質物質對厭氧消化的抑制。剩余污泥中腐殖質主要來源于餐廚垃圾、樹葉、廁紙等,屬于較難降解有機物,最終轉移到剩余污泥中,占污泥VSS量6-20%。腐殖質進入厭氧消化系統,將抑制污泥厭氧消化效率。
前期針對腐殖酸(HA,腐殖質的重要組成成分)對間歇式厭氧消化影響研究發現:
在水解階段,HA通過靜電引力、共價鍵合和網捕卷掃與水解酶結合,減緩水解速率,降低水解效率,其抑制效率為38.2%(HA:VSS=15%);
在酸化階段,HA作為電子傳遞體或電子受體可促進酸化,促進效率高達101.5%(HA:VSS=15%);
在產甲烷階段,HA作為電子受體,爭奪中間產物電子,同時抑制F420酶的活性而降低產甲烷效率,抑制率為52.2%(HA:VSS=15%);
最終HA表現為整體上抑制厭氧消化,抑制率高達35.1%(HA:VSS=15%)。以上間歇式厭氧消化研究發現,HA對厭氧消化能源轉化率的抑制隨其濃度的增加而不斷加劇;那么在連續式厭氧消化的長期馴化作用下,厭氧消化系統是否會對HA的存在逐漸適應,進而減弱其抑制影響?
因此,參考前期間歇式實驗,繼續采用不含HA的“純凈”剩余污泥,進行半連續式運行模式厭氧消化研究,在周期換/進泥過程中梯度增加HA投加濃度。通過分析系統生物氣/甲烷產量、水解產物、VFAs、關鍵酶活性、細菌等參數隨濃度及時間的變化,探究系統對HA的長期適應性是否存在。
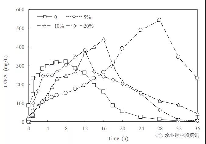
結果顯示,隨著HA濃度由無增長到20%VSS,甲烷產量直接由192 mL/g VSS降低到75 mL/g VSS,抑制率高達74.3%(見圖1)。由圖2可知,水解產物(多糖、蛋白質)均隨著HA濃度的增加而不斷累積;圖3顯示,系統內最大VFAs累積量出現時間隨HA濃度增加而推遲,且最大產量表現為逐漸增加。對系統內關鍵水解酶、產甲烷酶活性研究發現,HA濃度的增加導致酶活性不斷降低。這些現象顯示,HA對連續式厭氧消化的宏觀影響基本與間歇式厭氧消化一致。但對系統內酸化酶的研究發現(圖4),隨著HA濃度的增加,其酶活性出現一定程度增長;分析可知,HA作為電子受體接受酸化反應過程中的電子,導致系統內氫氣生成量降低,從而解除了氫分壓對酸化反應的影響,促進了酸化反應的進行。這種促進作用抵消了HA對酸化酶的抑制負作用,表現為對酸化酶的間接促進作用。而對系統內主要細菌豐度檢測結果顯示(圖5),無論是酸化細菌,還是產甲烷細菌豐度都隨著HA濃度的增加而降低。以上實驗結果意味著連續式的厭氧消化馴化系統,并沒有出現對HA的適應性,甚至表現為更強的抑制作用(連續式74% vs間歇式35%)(圖6,間歇式與連續式結果對比)。
文章同樣指出,無論是間歇式還是連續式運行模式,HA抑制厭氧消化的能源轉化率現象客觀存在。解除該抑制無外乎:1)將HA從污泥中分離;2)采取措施緩解抑制。HA分離不存在技術難題,但分離工藝費時費力且成本較高,因此尋求有效的緩解抑制手段極為重要。而金屬離子與HA的相互作用將可能形成有效的解除抑制效果,此方面有待于進一步研究。
3 重要結論
HA對連續式厭氧消化也存在嚴重的抑制作用,隨著HA濃度增高,其抑制程度不斷增加。同間歇式相比,厭氧消化細菌并未因長期馴化運行而出現對HA的適應性,細菌豐度反而進一步降低,最終表現為更強的抑制,其最大抑制率(74%)達到間歇式(35%)的2倍。
(a)

(b)

(c)

圖1 周期內生物氣/甲烷產量:a) 生物氣/甲烷產量隨時間變化;b) 單周期內每日生物氣產量變化;c) 平均甲烷產量及抑制率

圖2 系統內多糖、蛋白質累積量
(a)

(b)

圖3 不同HA濃度條件下VFA累積量:a)典型周期內TVFA隨時間變化;b)最大VFAs累積量

圖4 系統內關鍵酸化酶活性
(a)

(b)

圖5系統內關鍵酸化細菌、產甲烷細菌豐度變化

圖6間歇式與連續式厭氧消化結果對比
以上是小編收集整理的連續式污泥厭氧消化對腐殖酸的適應性研究部分內容來自網絡,如有侵權請聯系刪除:153045535@qq.com;
本文地址:http://m.golddiy.com.cn/shuichuli/715.html










